Home
archives
Works
AAA
BBB
Links
Kieran
Name
About
RSS
ponyedey
Always
Creative.
Welcome!
More
Toggle navigation
2017-11-06
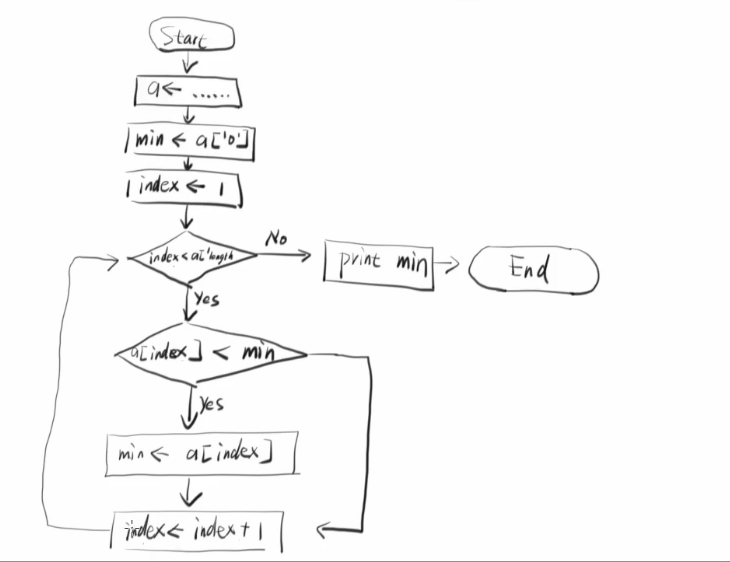
伪代码
length是一个容器,而’length’表示是一个叫做length的字符串。如果是length <- ‘length’,则表示这个length容器中包含着length这个字符串。
JS不支持数字,如果要输入必须加引号,成为字符串。
3.
‘0’ : 23表示字符串’0’的数据是23
默认第一个是最小的
index <- 1代表是从序号1开始,也就是这一段的’1’这一个字符串。
while表示循环,说明在index小于5也就是’length’时,会一直循环。
有一部分为什么不写’’,因为会自动转换,自动转换成字符串。
为什么index写在a的框内不加引号,而length要加引号。因为前面定义了’length’是5,是确定了的,如果不加引号,就不能确定这个length是多少了。而index随时会变化的,不需要加引号。加了引号是字符串,是不会变的。
确定了的字符串和不确定的值,写法是有区别的,主要在于是否加引号。
容器好比是变量,随时会变,而字符串是不变的。
单引号不属于字符串,单引号只是标记作用。
这是流程图。
局部最小就是全局最小,把当前最小作为整体,和下一个数字对比。这是机械化的思维
←
CSS关于进度条和作品展示的简历制作 →